.01

ABOUT

PERSONAL DETAILS
Clemson University, Clemson, SC 29631
+1 (864) 656-1657
office: Martin Hall O-22
O-110 Martin Hall, Box 340975, Clemson, SC 29634

BIO

ABOUT ME

I am an Associate Professor in the School of Mathematical and Statistical Sciences at Clemson University, where I also serve as the Associate Director for Mathematics and Statistics Education. For the academic year 2019/20 I have been a Visiting Scholar and have since been an affiliated faculty member of the Cybersecurity Research Lab at the Ted Rogers School of Management at Toronto Metropolitan University. I was honored to be a 2019 Simons Visiting Professor and currently serve as an Associate Editor for the IEEE Transaction on Information Theory.


.02

RESUME

  • ADMINISTRATIVE POSITIONS
  • since2022
    Clemson, USA

    ASSOCIATE DIRECTOR FOR MATHEMATICS AND STATISTICS EDUCATION

    CLEMSON UNIVERSITY

    School of mathematical and Statistical Sciences
  • ACADEMIC POSITIONS
  • since 2019
    Clemson, USA

    ASSOCIATE PROFESSOR

    CLEMSON UNIVERSITY

    School of mathematical and Statistical Sciences
  • 2019
    2020
    Toronto, CANADA

    VISITING SCHOLAR

    TORONTO METROPOLITAN UNIVERSITY

    Cybersecurity Lab, TED ROGERS School of Management
  • 2013
    2019
    Clemson, USA

    ASSISTANT PROFESSOR

    CLEMSON UNIVERSITY

    School of mathematical and Statistical Sciences
  • 2011
    2013
    Toronto, CANADA

    POSTDOCTORAL FELLOW

    UNIVERSITY OF TORONTO

    Department of Electrical and Computer Engineering
  • OTHER AFFILIATIONS
  • since 2011
    Toronto, Canada

    AFFILIATED FACULTY

    TORONTO METROPOLITAN UNIVERSITY

    Cybersecurity Research Lab (CRL)
  • EDUCATION
  • 2006
    2011
    ZURICH, SWITZERLAND

    MATHEMATICS - DR. SC. NAT (PHD)

    UNIVERSITY OF ZURICH

    Title: Spread Codes and more General Network Codes.
    Advisor: Prof. J. Rosenthal
  • 1999
    2005
    PISA, ITALY

    MATHEMATICS

    UNIVERSITY OF PISA

    title: Calcolo della distribuzione dei pesi nei codici ciclici accorciati.
    Advisor: Prof. P. Gianni – Co-advisor: Prof. C. Traverso
.03

PUBLICATIONS

PUBLICATIONS LIST
2024

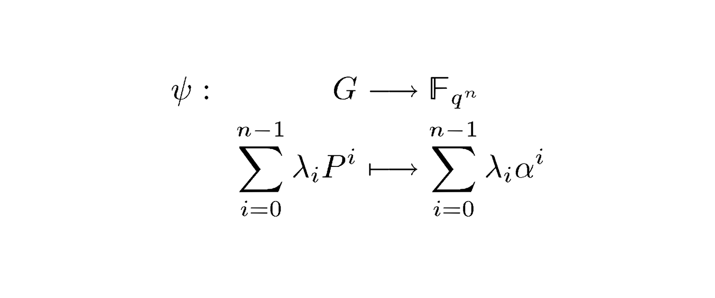
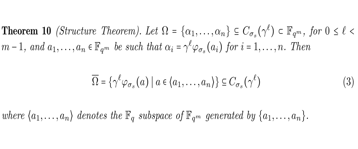
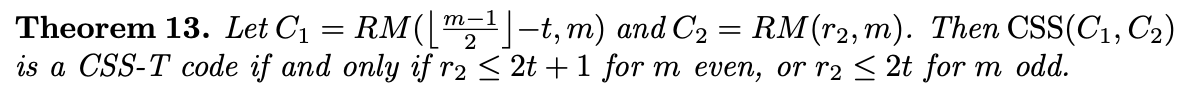
CSS-T CODE WITH NON-VANISHING RATES FROM REED-MULLER CODES.

submitted.

Find it in the arXiv.

Jornal Paper with E. Andrade, J. Bolkema, T. Dexter, H. Eggers, V. Luongo, and L. Szramowski
img

CSS-T CODE WITH NON-VANISHING RATES FROM REED-MULLER CODES.

E. Andrade, J. Bolkema, T. Dexter, H. Eggers, V. Luongo, F. Manganiello, and L. Szramowski Journal Paper

CSS-T codes are a class of stabilizer codes introduced by Rengaswamy et al with desired properties for quantum fault-tolerance. In this work, we give a comprehensive study of non-degerate CSS-T codes built from Reed-Muller codes. These classical codes allow for the construction of CSS-T code families with non-vanishing asymptotic rate up to and possibly diverging minimum distance when non-degenerate.

2024

RECURSIVE EDGE TOGGLING FOR CONSTRUCTION OF DE BRUIJN SEQUENCES

Submitted.


Conference Proceedings with T. Baumbaugh
img

RECURSIVE EDGE TOGGLING FOR CONSTRUCTION OF DE BRUIJN SEQUENCES

T. Baumbaugh and F. Manganiello Conference Proceedings

De Bruijn sequences are cyclic sequences of length that contain every binary word of length exactly once. The construction of many such sequences of a given order is useful for the generation of stream ciphers. One method of constructing sequences makes use of a homomorphism from the de Bruijn graph of order to the graph of order . The preimages of a de Bruijn sequence under this homomorphism form two cycles which may be joined at certain points. We examine a par- ticular method for identifying such points when the sequence in question is recursively constructed in this manner. Using the structure of the con- struction, we are able to calculate sums of subsequences in 􏰁 time, and the location of a given word in time. Together, these functions allow a check to be made for the validity of any potential toggle point. This provides a method for efficiently generating a recursive specification for such sequences, each successful step of which takes , for from 3 to n.

10 June 2024

EXTERNAL CODES FOR MULTIPLE UNICAST NETWORKS VIA INTERFERENCE ALIGNMENT

Designs, Codes and Cryptography, 92:3355–3369

Find it in the journal.

Jornal Paper with F. Kschischang, A. Ravagnani and K. Savary
img

EXTERNAL CODES FOR MULTIPLE UNICAST NETWORKS VIA INTERFERENCE ALIGNMENT

F. Kschischang, F. Manganiello, A. Ravagnani and K. Savary Journal Paper

We introduce a formal framework to study the multiple unicast problem for a coded network in which the network code is linear over a finite field and fixed. We show that the problem corresponds to an interference alignment problem over a finite field. In this context, we establish an outer bound for the achievable rate region and provide examples of networks where the bound is sharp. We finally give evidence of the crucial role played by the field characteristic in the problem.

28 October 2024

GENERIC ERROR SDP AND GENERIC ERROR CVE

In Andre Esser and Paolo Santini, editors, Code-Based Cryptography, pages 125–143, Springer.

Find it in the journal.

Conference Proceedings with F. Slaughter
img

GENERIC ERROR SDP AND GENERIC ERROR CVE

F. Manganiello and F. Slaughter Conference Proceedings

This paper introduces a new family of CVE schemes built from generic errors (GE-CVE) and identifies a vulnerability therein. To introduce the problem, we generalize the concept of error sets beyond those defined by a metric, and use the set-theoretic difference operator to characterize when these error sets are detectable or correctable by codes. We prove the existence of a general, metric-less form of the Gilbert-Varshamov bound, and show that - like in the Hamming setting - a random code corrects a generic error set with overwhelming probability. We define the generic error SDP (GE-SDP), which is contained in the complexity class of NP-hard problems, and use its hardness to demonstrate the security of GE-CVE. We prove that these schemes are complete, sound, and zero-knowledge. Finally, we identify a vulnerability of the GE-SDP for codes defined over large extension fields and without a very high rate. We show that certain GE-CVE parameters suffer from this vulnerability, notably the restricted CVE scheme.

7 December 2022

ROOT OF UNITY FOR SECURE DISTRIBUTED MATRIX MULTIPLICATION: GRID PARTITION CASE.

In 2022 IEEE Information Theory Workshop (ITW), pages 155–159

Find it in the journal.

Conference Proceedings with R. Assis Machado
img

ROOT OF UNITY FOR SECURE DISTRIBUTED MATRIX MULTIPLICATION: GRID PARTITION CASE.

R. Assis Machado and F. Manganiello Conference Proceedings

We consider the problem of secure distributed matrix multiplication (SDMM), where a user has two matrices and wishes to compute their product with the help of N honest but curious servers under the security constraint that any information about either A or B is not leaked to any server. This paper presents a new scheme that considers a grid product partition for matrices A and B, which achieves an upload cost significantly lower than the existing results in the literature. Also, it significantly reduces the recovery threshold compared to the PolyDot codes presented for grid partition when T > 0. Since the grid partition is a general partition that incorporates the inner and outer ones, it turns out that the communication load of the proposed scheme matches the best-known protocols for those extreme cases.

15 December 2021

BATCH CODES FROM AFFINE CARTESIAN CODES AND QUOTIENT SPACES

Designs, Codes and Cryptography, 92:3355–3369

Find it in the journal.

Conference Proceeding with T. Baumbaugh, H. Colgate, and T. Jackman
img

BATCH CODES FROM AFFINE CARTESIAN CODES AND QUOTIENT SPACES

T. Baumbaugh, H. Colgate, T. Jackman, and F. Manganiello Conference Proceeding

Affine Cartesian codes are defined by evaluating multivariate polynomials at a cartesian product of finite subsets of a finite field. In this work we examine properties of these codes as batch codes. We consider the recovery sets to be defined by points aligned on a specific direction and the buckets to be derived from cosets of a subspace of the ambient space of the evaluation points. We are able to prove that under these conditions, an affine Cartesian code is able to satisfy a query of size up to one more than the dimension of the space of the ambient space.

15 JAN 2021

A PARALLEL JACOBI-EMBEDDED GAUSS-SEIDEL METHOD.

IEEE Transactions on Parallel and Distributed Systems, 32(6):1452–1464.

Find it in the journal.

Journal Paper with A. Ahmadi, A. Khademi, and M. C. Smith
img

A PARALLEL JACOBI-EMBEDDED GAUSS-SEIDEL METHOD.

A. Ahmadi, F. Manganiello, A. Khademi, and M. C. Smith Journal Paper

A broad range of scientific simulations involve solving large-scale computationally expensive linear systems of equations. Iterative solvers are typically preferred over direct methods when it comes to large systems due to their lower memory requirements and shorter execution times. However, selecting the appropriate iterative solver is problem-specific and dependent on the type and symmetry of the coefficient matrix. Gauss-Seidel (GS) is an iterative method for solving linear systems that are either strictly diagonally dominant or symmetric positive definite. This technique is an improved version of Jacobi and typically converges in fewer iterations. However, the sequential nature of this algorithm complicates the parallel extraction. In fact, most parallel derivatives of GS rely on the sparsity pattern of the coefficient matrix and require matrix reordering or domain decomposition. In this article, we introduce a new algorithm that exploits the convergence property of GS and adapts the parallel structure of Jacobi. The proposed method works for both dense and sparse systems and is straightforward to implement. We have examined the performance of our method on multicore and many-core architectures. Experimental results demonstrate the superior performance of the proposed algorithm compared with GS and Jacobi. Additionally, performance comparison with built-in Krylov solvers in MATLAB showed that in terms of time per iteration, Krylov methods perform faster on CPUs, but our approach is significantly better when executed on GPUs. Lastly, we apply our method to solve the power flow problem, and the results indicate a significant improvement in runtime, reaching up to 87 times faster speed compared with GS.

1 OCT 2020

HILBERT MODULAR FORMS AND CODES OVER

Finite Fields and Their Applications, 67:101731.

Find it in the journal.

Journal Paper with J. Brown, J. Lilly and B. Gunsolus
img

HILBERT MODULAR FORMS AND CODES OVER

J. Brown, J. Lilly, B. Gunsolus and F. Manganiello Journal Paper

Let be an odd prime and consider the finite field . Given a linear code , we use algebraic number theory to construct an associated lattice for an algebraic number field and the ring of integers of . We attach a theta series to the lattice and prove a relation between and the complete weight enumerator evaluated on weight one theta series.

25 OCT 2019

MULTICAST TRIANGULAR SEMILATTICE NETWORK  

Involve, Vol. 12 (2019), No. 8, 1307–1328

Find it in the journal.

Journal Paper with A. Grosso, S. Varal and E. Zhu
img

MULTICAST TRIANGULAR SEMILATTICE NETWORK.s

A. Grosso, F. Manganiello, S. Varal and E. Zhu Journal Paper

We investigate the structure of the code graph of a multicast network that has a characteristic shape of an inverted equilateral triangle. We provide a criterion that determines the validity of a receiver placement within the code graph, present invariance properties of the determinants corresponding to receiver placements under symmetries, and provide a complete study of these networks’ receivers and required field sizes up to a network of 4 sources. We also improve on various definitions related to code graphs.

1 MAY 2019

AFFINE CARTESIAN CODES WITH COMPLEMENTARY DUALS

Finite Fields and Their Applications 57, 13-28

Find it in the journal.

Journal Paper with H. López and G. Matthews
img

AFFINE CARTESIAN CODES WITH COMPLEMENTARY DUALS

H. López, F. Manganiello and G. Matthews Journal Paper

A linear code with the property that is said to be a linear complementary dual, or LCD, code. In this paper, we consider generalized affine Cartesian codes which are LCD. Generalized affine Cartesian codes arise naturally as the duals of affine Cartesian codes in the same way that generalized Reed–Solomon codes arise as duals of Reed–Solomon codes. Generalized affine Cartesian codes are evaluation codes constructed by evaluating multivariate polynomials of bounded degree at points in an m-dimensional Cartesian set over a finite field K and scaling the coordinates. The LCD property depends on the scalars used. Because Reed–Solomon codes are a special case, we obtain a characterization of those generalized Reed–Solomon codes which are LCD along with the more general result for generalized affine Cartesian codes. These results are independent of the characteristic of the underlying field.

25 APR 2019

MATROIDAL ROOT STRUCTURE OF SKEW POLYNOMIALS OVER FINITE FIELDS

Journal of Discrete Mathematical Sciences and Cryptography, 22(3):377–389

Find it in the journal.

Journal Paper with T. Baumbaugh
img

MATROIDAL ROOT STRUCTURE OF SKEW POLYNOMIALS OVER FINITE FIELDS

T. Baumbaugh and F. Manganiello Journal Paper

A skew polynomial ring is a ring of polynomials with non-commutative multiplication. This creates a difference between left and right divisibility, evaluations, and roots. A polynomial in such a ring may have more roots than its degree, which leads to the concepts of closures and independent sets of roots. In , this leads to the matroids and of right independent and left independent sets, which are isomorphic via the extension of the map defined by , where . Extending the field of coefficients of R results in a new ring of which is a subring, and if the extension is taken to include roots of an evaluation polynomial of , then all roots of in are in the same conjugacy class.

8 OCT 2018

BATCH CODES FROM HAMMING AND REED-MULLER CODES

Journal of Algebra Combinatorics Discrete Structures and Applications, 5:153 – 165

Find it in the journal.

Journal Paper with T. Baumbaugh
img

BATCH CODES FROM HAMMING AND REED-MULLER CODES

T. Baumbaugh and F. Manganiello Journal Paper

Batch codes, introduced by Ishai et al., encode a string into an -tuple of strings, called buckets. In this paper we consider multiset batch codes wherein a set of -users wish to access one bit of information each from the original string. We introduce a concept of optimal batch codes. We first show that binary Hamming codes are optimal batch codes. The main body of this work provides batch properties of Reed-Muller codes. We look at locality and availability properties of first order Reed-Muller codes over any finite field. We then show that binary first order Reed-Muller codes are optimal batch codes when the number of users is 4 and generalize our study to the family of binary Reed-Muller codes which have order less than half their length.

16 NOV 2017

REPRESENTATIONS OF THE MULTICAST NETWORK PROBLEM

in ALGEBRAIC GEOMETRY FOR CODING THEORY AND CRYPTOGRAPHY, pages 1–23. Springer International Publishing

Find it in the book.

Book Chapters with S.E. Anderson, W. Halbawi, N. Kaplan, H.H. López, E. Soljanin, and J.L. Walker.
img

REPRESENTATIONS OF THE MULTICAST NETWORK PROBLEM

S.E. Anderson, W. Halbawi, N. Kaplan, H.H. López, F. Manganiello, E. Soljanin, and J.L. Walker. Book Chapters

We approach the problem of linear network coding for multicast networks from different perspectives. We introduce the notion of the coding points of a network, which are edges of the network where messages combine and coding occurs. We give an integer linear program that leads to choices of paths through the network that minimize the number of coding points. We introduce the code graph of a network, a simplified directed graph that maintains the information essential to understanding the coding properties of the network. One of the main problems in network coding is to understand when the capacity of a multicast network is achieved with linear network coding over a finite field of size q. We explain how this problem can be interpreted in terms of rational points on certain algebraic varieties.

10 OCT 2017

CODES FOR DISTRIBUTED STORAGE FROM 3-REGULAR GRAPHS

Discrete Applied Mathematics, 229:82–89

Find it in the journal.

Journal Paper with S. Gao, F. Knoll and G. Matthews
img

CODES FOR DISTRIBUTED STORAGE FROM 3-REGULAR GRAPHS

S. Gao, F. Knoll, F. Manganiello and G. Matthews Journal Paper

This paper considers distributed storage systems (DSSs) from a graph theoretic perspective. A DSS is constructed by means of the path decomposition of a 3-regular graph into paths. The paths represent the disks of the DSS and the edges of the graph act as the blocks of storage. We deduce the properties of the DSS from a related graph and show their optimality.

17 MAY 2017

MATROIDAL STRUCTURE OF SKEW POLYNOMIAL RINGS WITH APPLICATION TO NETWORK CODING

Finite Fields and Their Applications, 46:326-346

Find it in the journal.

Journal Paper with S. Liu and F. Kschischang
img

MATROIDAL STRUCTURE OF SKEW POLYNOMIAL RINGS WITH APPLICATION TO NETWORK CODING

S. Liu, F. Manganiello and F. Kschischang Journal Paper

Over a finite field , the evaluation of skew polynomials is intimately related to the evaluation of linearized polynomials. This connection allows one to relate the concept of polynomial independence defined for skew polynomials to the familiar concept of linear independence for vector spaces. This relation allows for the definition of a representable matroid called the -matroid, with rank function that makes it a metric space. Specific submatroids of this matroid are individually bijectively isometric to the projective geometry of equipped with the subspace metric. This isometry allows one to use the -matroid in a matroidal network coding application.

6 JUL 2015

CONSTRUCTION AND DECODING OF GENERALIZED SKEW-EVALUATION CODES

In the proceeding of the 2015 IEEE 14th Canadian Workshop on Information Theory (CWIT)

Find it is the proceedings of the workshop.

Conference Proceedings with S. Liu and F. Kschischang
img

CONSTRUCTION AND DECODING OF GENERALIZED SKEW-EVALUATION CODES

S. Liu, F. Manganiello and F. Kschischang Conference Proceedings

Skew polynomials are elements of a noncommutative ring that, in recent years, have found applications in coding theory and cryptography. Skew polynomials have a well-defined evaluation map. This map leads to the definition of a class of codes called Generalized Skew-Evaluation codes that contains Gabidulin codes as a special case as well as other related codes with additional desirable properties. A Berlekamp-Welch-type decoder for an important class of these codes can be constructed using Kötter interpolation in skew polynomial rings.

17 SEP 2013

SPREAD DECODING IN EXTENSION FIELDS

Finite Fields and Their Applications, 25(0):94–105                                       

Find it in the journal.

Journal Paper with A.-L. Trautmann-Horlemann
img

SPREAD DECODING IN EXTENSION FIELDS

A.-L. Trautmann-Horlemann and F. Manganiello Journal Paper

A spread code is a set of vector spaces of a fixed dimension over a finite field with certain properties used for random network coding. It can be constructed in different ways which lead to different decoding algorithms. In this work we consider one such representation of spread codes and present a minimum distance decoding algorithm which is efficient when the code words, the received space and the error space have small dimension.

1 AUG 2013

CYCLIC ORBIT CODES

IEEE Transactions on Information Theory, 59(11):7386-7404                           

Find it in the journal.

Journal Paper with M. Braun, J. Rosenthal and A.-L. Trautmann-Horlemann
img

CYCLIC ORBIT CODES

A.-L. Trautmann-Horlemann, F. Manganiello, M. Braun and J. Rosenthal Journal Paper

A constant dimension code consists of a set of k-dimensional subspaces of . Orbit codes are constant dimension codes which are defined as orbits of a subgroup of the general linear group, acting on the set of all subspaces of . If the acting group is cyclic, the corresponding orbit codes are called cyclic orbit codes. In this paper, we show how orbit codes can be seen as an analog of linear codes in the block coding case. We investigate how the structure of cyclic orbit codes can be utilized to compute the minimum distance and cardinality of a given code and propose different decoding procedures for a particular subclass of cyclic orbit codes.

3 JAN 2013

KÖTTER INTERPOLATION IN SKEW POLYNOMIAL RINGS

Designs, Codes and Cryptography, Volume 72, Issue 3, pp 593–608

Find it in the journal.

Journal Paper with S. Liu and F. Kschischang
img

KÖTTER INTERPOLATION IN SKEW POLYNOMIAL RINGS

S. Liu, F. Manganiello and F. Kschischang Journal Paper

Skew polynomials are a noncommutative generalization of ordinary polynomials that, in recent years, have found applications in coding theory and cryptography. Viewed as functions, skew polynomials have a well-defined evaluation map; however, little is known about skew-polynomial interpolation. In this work, we apply Kötter’s interpolation framework to free modules over skew polynomial rings. As a special case, we introduce a simple interpolation algorithm akin to Newton interpolation for ordinary polynomials.

1 NOV 2012

AN ALGEBRAIC APPROACH FOR DECODING SPREAD CODES

Advances in Mathematics of Communications, 6(4):443-466

Find it in the journal.

Journal Paper with E. Gorla and J. Rosenthal
img

AN ALGEBRAIC APPROACH FOR DECODING SPREAD CODES

E. Gorla, F. Manganiello and J. Rosenthal Journal Paper

In this paper we study spread codes: a family of constant-dimension codes for random linear network coding. In other words, the codewords are full-rank matrices of size with entries in a finite field . Spread codes are a family of optimal codes with maximal minimum distance. We give a minimum-distance decoding algorithm which requires operations over an extension field . Our algorithm is more efficient than the previous ones in the literature, when the dimension of the codewords is small with respect to . The decoding algorithm takes advantage of the algebraic structure of the code, and it uses original results on minors of a matrix and on the factorization of polynomials over finite fields.

17 JAN 2012

SPREAD CODES AND MORE GENERAL NETWORK CODES

University of Zurich - Switzerland

PhD Theses
 

Theses Advisor: J. Rosenthal

SPREAD CODES AND MORE GENERAL NETWORK CODES

F. Manganiello Theses

31 JUL 2011

ON CONJUGACY CLASSES OF SUBGROUPS OF THE GENERAL LINEAR GROUP AND CYCLIC ORBIT CODES

In the proceeding of the 2011 IEEE International Symposium on Information Theory (ISIT)

Find it is the proceedings of the workshop.

Conference Proceedings with A.L. Trautmann-Horlemann and J. Rosenthal
img

ON CONJUGACY CLASSES OF SUBGROUPS OF THE GENERAL LINEAR GROUP AND CYCLIC ORBIT CODES

F. Manganiello, A.L. Trautmann-Horlemann and J. Rosenthal Conference Proceedings

Orbit codes are a family of codes applicable for communications on a random linear network coding channel. The paper focuses on the classification of these codes. We start by classifying the conjugacy classes of cyclic subgroups of the general linear group. As a result, we are able to focus the study of cyclic orbit codes to a restricted family of them.

30 AUG 2010

ORBIT CODES — A NEW CONCEPT IN THE AREA OF NETWORK CODING

In the proceeding of the 2010 IEEE Information Theory Workshop (ITW)

Find it is the proceedings of the workshop.

Conference Proceedings with A.L. Trautmann-Horlemann and J. Rosenthal
img

ORBIT CODES — A NEW CONCEPT IN THE AREA OF NETWORK CODING

A.L. Trautmann-Horlemann, F. Manganiello and J. Rosenthal Conference Proceedings

We introduce a new class of constant dimension codes called orbit codes. The basic properties of these codes are derived. It will be shown that many of the known families of constant dimension codes in the literature are actually orbit codes.

6 JUL 2008

SPREAD CODES AND SPREAD DECODING IN NETWORK CODING

In the proceeding of the 2008 IEEE International Symposium on Information Theory (ISIT)

Find it is the proceedings of the workshop.

Conference Proceedings with E. Gorla and J. Rosenthal
img

ON CONJUGACY CLASSES OF SUBGROUPS OF THE GENERAL LINEAR GROUP AND CYCLIC ORBIT CODES

F. Manganiello, E. Gorla and J. Rosenthal Conference Proceedings

In this paper we introduce the class of spread codes for the use in random network coding. Spread codes are based on the construction of spreads in finite projective geometry. The major contribution of the paper is an efficient decoding algorithm of spread codes up to half the minimum distance.

9 MAY 2008

COMPUTATION OF THE WEIGHT DISTRIBUTION OF CRC CODES

Applicable Algebra in Engineering, Communication and Computing, 19(4):349-363

Find it in the journal.

Journal Paper
img

COMPUTATION OF THE WEIGHT DISTRIBUTION OF CRC CODES

F. Manganiello Journal Paper

In this article, we illustrate an algorithm for the computation of the weight distribution of CRC codes. The recursive structure of CRC codes will give us an iterative way to compute the weight distribution of their dual codes starting from some “representative” words. Thanks to MacWilliams’ Theorem, the computation of the weight distribution of the dual codes can be easily brought back to that of CRC codes.

27 OCT 2005

CALCOLO DELLA DISTRIBUZIONE DEI PESI NEI CODICI CICLICI ACCORCIATI

University of Pisa - Italy

Master Theses
 

Theses Advisor: P. Gianni

CALCOLO DELLA DISTRIBUZIONE DEI PESI NEI CODICI CICLICI ACCORCIATI

F. Manganiello Theses

.04

AWARDS & GRANTS

  • AWARDS
  • 2019

    Simons Visiting Professor - MFO

    For more information visit the SVP page.
  • GRANTS
  • 2019
    2024

    NSF GRANT ECCS-1912702 - Co-PI

    ENCRYPTED CONTROL FOR PRIVACY-PRESERVING AND SECURE CYBER-PHYSICAL SYSTEMS

    Awarded amount: $379,998
    Other investigators: Y. Wang (PI)
  • 2016
    2023

    NSF GRANT DMS-1547399 - PI

    RTG: CODING THEORY, CRYPTOGRAPHY AND NUMBER THEORY

    Awarded amount: $2,126,971
    Other investigators: S. Gao (Co-PI) and K. James (Co-PI)
    Visit the homepage of the group for further information.
  • 2012
    2013

    Swiss NSF GRANT 138738 - PI

    CODES, ALGORITHMS AND CRYPTOGRAPHY FOR RANDOM LINEAR NETWORK CODING

    Fellowships for prospective researchers
  • 2011
    2012

    Swiss NSF GRANT 135934 - PI

    CODES, ALGORITHMS AND CRYPTOGRAPHY FOR RANDOM LINEAR NETWORK CODING

    Fellowships for prospective researchers
  • CONFERENCE GRANTS
  • 2017

    IEEE

    SHANNON CENTENNIAL EVENT AT CLEMSON UNIVERSITY

    Awarded amount: $2,650
    For more information visit the event homepage.
.05

RESEARCH TEAM

TEAM

FREEMAN SLAUGHTER

DOCTORAL STUDENT

Cryptographer interested in applied zero-knowledge proofs, blockchain paradigms, and government standards for code-based cryptography. One of the main proposers for the post-quantum signature scheme CROSS.

SITRAKA RANDRIANARIVO

DOCTORAL STUDENT

Codes over reals.

EVAN HALL

DOCTORAL STUDENT

Quantum Error-Correcting Codes.

KATHERINE HARR

MASTERS STUDENT

Secure multi-party computations.

FORMER TEAM MEMBERS

    Postdoctoral fellows

  • Joseph Skelton (Postoctoral Fellow - 2021-2024) now assistant teaching professor at William & Mary University.
  • Roberto Assis Machado (Postoctoral Fellow - 2021-2023) now Data Analysis Manager at HealthPoint.
  • Ryann Cartor (Postoctoral Fellow - 2019-2021) now assistant professor at Clemson University.
  • Hiram H. López (Postoctoral Fellow - 2016-2018) now assistant professor at Virginia Tech.
  • Graduate Students

  • Travis Baumbaugh (PhD Student - 2014-2020) now Cryptographer at ToposWare.

  • Luke Szramowski (Master student - 2024)
  • Trinity White (Master student - 2023)
  • Harrison Eggers (Master student - 2020)
  • Kristen Savary (Master student - 2019)
  • Alexander Joyce (Master student - 2019)
.06

TEACHING

  • CURRENT
  • MATH 3110 - Linear Algebra

    Clemson University - Undergraduate Class

    Spring 2025
  • TEACHING EXPERIENCE at Clemson University
  • MATH 1060 - Calculus of one variable I

    Clemson University - Undergraduate Class

    Fall 2020, and Fall 2021
  • MATH 2190 - Introduction to mathematical Cryptography

    Clemson University - Undergraduate Class

    Spring 2017, Spring 2019, Spring 2022, and Spring 2023
  • MATH 3110 - Linear Algebra

    Clemson University - Undergraduate Class

    Spring 2014, Fall 2014, Fall 2015, Fall 2016, Fall 2017, Fall 2018, Summer 1 2019, and Summer 1 2020
  • MATH 8510 - Abstract Algebra I

    Clemson University - Graduate Class

    Fall 2014
  • MATH 8530 - Matrix Analysis

    Clemson University - Graduate Class

    Fall 2015
  • MATH 8560 - Information Theory and Coding Theory

    Clemson University - Graduate Class

    Spring 2014, Spring 2016 and Spring 2018, and Spring 2022
  • MATH 8570 - Cryptography

    Clemson University - Graduate Class

    Spring 2015 and Spring 2021
  • MATH 9740 - Privacy-Aware Artificial Intelligence

    Clemson University - Graduate Class

    Spring 2021
  • TEACHING EXPERIENCE prior to Clemson University
  • CSC192 - Computer Programming, Algorithms, Data Structures and Languages

    University of Toronto - Computer Science Department - Undergraduate Class

    Fall 2012
  • MATH 007 - Computer Algebra

    University of Zurich - Institute of mathematics - Graduate Class

    Spring 2011
  • MATH 007 - Seminar in Computer Algebra

    University of Zurich - Institute of mathematics - Graduate Class

    Spring 2008